Растворимая в воде жидкая кетоновая смола, используемая для измельчения универсальной цветовой пасты на водной основе
Жидкая кетоновая смола представляет собой вид светло-желтой прозрачной непросушивающейся вязкой жидкости,
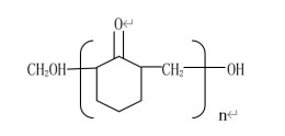
который получается при поликонденсации циклогексанона и формальдегида.
Молекулярная структура:

Спецификация
| Положение | Спецификация | Метод испытания |
| Внешний вид |
Прозрачная жидкость |
|
|
Содержание |
96% |
ГБ/Т 2793 |
|
Значение pH |
Нейтральный |
GB/T 14518 |
|
Гидроксильное значение ((mgKOH/g) |
380 |
GB/T 31412-2015 |
|
Молекулярная масса |
Около 170 |
GPC |
Ключевые особенности:
1Растворимый в воде, этаноле, метаноле и ацетоне.
2. оба конца молекулы полимера содержат активную гидроксиметиловую группу;
Химическая реакция с НКО и другими группами во время формирования пленки;
3Светлый цвет и низкая вязкость;
4Хорошая совместимость, совместимая с большинством водных смол
Применение
1. (1) Для измельчения универсальной красящей пасты на водной основе;
(2) Хорошая влагоспособность твердых веществ и порошков,необходимость добавления дополнительных влагораспускающих и рассеивающих средств.
Он может хорошо обернуть твердые порошки без агломерации, делая отстой стабильным, нежным, равномерным
и блестящий, а также может сократить время измельчения;
(3) Хорошая совместимость с большинством смол на водной основе, что делает цветовую пасту универсальной;
2Активные гидроксильные группы на обоих концах участвуют в реакции расширения цепи и частично
заменить полиолы в качестве расширителей цепочки в синтезе полиуретановой смолы для увеличения
блеск и твердость полиуретанов, содержащихся в воде;
3Он может быть использован в качестве активного ингредиента в двухкомпонентных водяных покрытиях для получения краски.
Если добавлять смолу к двукомпонентному амино-пищевому лаку, блеск
может достигать 94 (60 ° угол)
Хранение
Этот продукт относится к обычным товарам, а не к опасным химикатам.
Во время хранения и транспортировки следует избегать контакта с активными окислителями.
Пакет
Пакет:Пластиковая бочка, 20 кг/бочка;

