IEC62368-1 300V ограниченное короткое замыкание тока выдерживать испытательная система
Соблюдение стандартов и положений
Соответствует приложению R в IEC62368-1:2019.
Обзор продукции
Система использует устройство для хранения энергии для хранения энергии в соответствии с установленными параметрами и разряжается, когда достигается установленное напряжение для реализации функции испытания большого тока выхода.Частота ослабления колебаний тока составляет 50±2 Гц, симулируя частоту питания, и пиковый ток может достигать 14KA (10KA пик синусовой волны), он будет автоматически заряжаться для следующего раунда испытаний после завершения разряда.
Во время испытания записывается волновая форма тока разряда и автоматически генерируется кривая тока и времени.
Удовлетворять требованиям испытаний мощности питания 300 V*10KA=3MVA в обычных лабораториях;

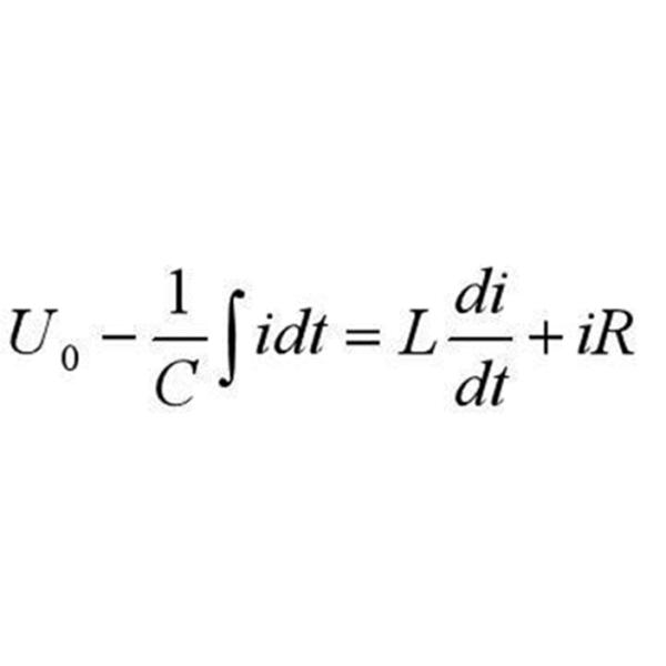
В приведенной выше схематической блок-диаграмме конструкция представляет собой сдерживающую аттенуационную колебание (α<1), а уравнение петли:



Фактическая форма волны тока показана на рисунке а выше.
Технические параметры
| Пиковый ток разряда | Дигитально настраиваемая |
| Напряжение разряда | Программируемое управление |
| Диапазон напряжения разряда | DC10-300V, автоматически управляемые программой |
| Предельный ток высвобождения | Не менее 14KA (пиковое значение синусовой волны 10KA) |
| Время выпуска |
Не менее 20 мс, ослабленное колебание в соответствии с синусоидной кривой (использование специальных зарядочных и разрядочных компонентов для высокоэффективного хранения энергии, отсутствие эффекта памяти, длительный срок службы) |
| Диапазон отклонений во время испытания | Ток 95% ~ 105%; напряжение 100% ~ 105%; частота 95% ~ 105%; |
| Текущая точность | уровень 0,5 или выше, разрешение ≤1A; |
| Точность напряжения | Уровень 1 или выше, разрешение ≤ 1 В; |
| Резистор разряда |
1Изготовлен из постоянного проволочного материала, сопротивление стабильное и надежное в течение длительного времени 2Специальный высокоскоростной контактный переключатель используется для переключения управления |
| Текущая форма волны | Используя высокоточные измерения катушек Роговски, диапазон измерений составляет 20KA, а пропускная способность может достигать 2 МГц. |
| Управляющий хост |
1Используйте интегрированный компьютер с LCD сенсорным экраном с 15-дюймовым монитором, 64G твердотельных накопителей и 8G памяти. 2- Конфигурируйте высокоскоростную карту сбора данных, чтобы точно измерить форму волны тока разряда. 3Текущая кривая волновой формы может храниться и экспортироваться. 4После того, как параметры установлены, программа автоматически проверяет, автоматически анализирует импеданс петли и автоматически регулирует напряжение для адаптации. |
| Защитная функция | Оборудованы функцией защиты от перенапряжения и перенапряжения |
| Интерфейс вывода устройства |
A. Защитный выключатель SCPD (например, 25A) или предохранитель: пользователь может подключить его самостоятельно. B. Выходной провод: в зависимости от площади поперечного сечения номера провода, пользователь может подключить его сам. C. Когда оборудование выходит из завода, оно обеспечивается акриловым защитным покрытием, которое может быть адаптировано к большинству испытываемых продуктов. |
| Электрическое питание устройства | AC220V 50Hz/60Hz,5KVA, |
| Размеры оборудования | Приблизительно W1800×D900×H1800 мм |
| Масса оборудования | 750 кг |
| Рабочая среда | Температура от 0 до 30°C, относительная влажность не более 80% и отсутствие конденсации, пара и коррозионного газа |
Подробная информация
