Магнит диска Ndfeb бора утюга с 3M слипчивое N35 D10 x 1 MM для рамки/альбома фото
| 1: Таможня любой размер и сформировать магнит неодимия редкой земли | 
| 2: Свободный дизайн и обслуживание свободных образцов | 
| 3: предохранение от 100% оплаты и 80000 гарантии USD обеспечения торговлей | 
| 4: охрана качества 100% продукции с реальным материалом | 
| 5: 100% в срок предохранений от пересылки | 
| 6: многолетний опыт 14 в изготовляя магните неодимия | 
Магниты неодимия acturally составлены неодимия, утюга и бора (они также названы NIB или магниты NdFeB). Напудренная смесь отжата под большим давлением в прессформы.
Материал после этого спечен (нагрел под вакуумом), охлажен, и после этого земля или отрезан в пожеланную форму. Покрытия после этого приложены если требуется. В конце концов, пустые магниты намагничены путем подвергать они действию очень сильного магнитного поля свыше 30 KOe.
Направление замагничивания магнита неодимия:
| Продукт | Магнит диска Ndfeb бора утюга с 3M слипчивое N35 D10 x 1 MM для рамки/альбома фото | 
| Форма | Диск (спеченные магниты неодимия формируют могут подгонянный) | 
| Материал | NdFeB (бор утюга неодимия) | 
| Покрытие | Ni-Cu-Ni, никель, Zn, золото, серебр, медный etc. | 
| Допуск в размере | +/-0.05mm или +/-0.1mm | 
| Направление замагничивания | Толщина, длина, осев, диаметр, радиально, мультиполярный | 
| Ранг | N33-N52; N33M-N50M; N33H-N48H; N30SH-N45Shipping и регуляция; N30UH-N40UH; N28EH-N38EH, N28AH-N35AH | 
| Br (килограммы) | N35 (11.8-12.2); N52 (14.4-14.8); N35M (11.8-12.2); N30H (10.8-11.3); N30SH (10.8-11.2); N30UH (10.8-11.2); U30EH (10.8-11.2) | 
| Hcj (ka/m) | N35≥955; N52≥876; ≥1353 N30Shipping и регуляции; N33AH≥2785 | 
| TW (градусы Градус цельсия) | N35≤80; N52≤70; ≤150 N30Shipping и регуляции; N33AH≤240 | 
| Применение | Магниты редкой земли неодимия NdFeB постоянные широко польза в много различной зоны, как моторы, датчик, диктор, роторы, сигнал тревоги, микрофон, ветротурбины/ветрогенераторы, магнитные крюки, магнитный держатель, автомобили фильтров и так далее | 
| MOQ | Образцы смогли быть предложены | 
| Срок поставки | 3 до 10 дня для образца, 10 до 30 дней для заказа. (Согласно данным по запаса) | 
| Аттестация | ROHS, SGS, ISO9001 | 
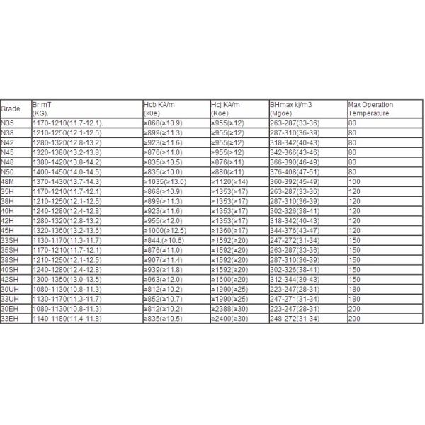
Магнитные свойства и ранг магнитов неодимия:


Наше преимущество магнитов неодимия:
1. Высокая эффективность:
Наш магнит неодимия для переменного компрессора частоты, мотора, ротора.
2. Высокое Consistancy:
Наш неодимий, (Br) и (Hcj) гораздо выше чем 1,63. Последовательность поверхностного магнитного поля и магнитного потока можно контролировать на +/--0,05%.
3. Высокая работая температура:
Наш магнит неодимия может удовлетворять работая требования к температуры с превосходным сопротивлением температуры. смогите находиться в большинств применениях.
 
Подача продукции магнита неодимия:
Ориентация магнита неодимия плавить-Размельчени-магнитная, который хранят и прессформ-Спекать-Semi-законченная осмотр-точность подвергая механической обработке для вырезывани-поверхности обработк-намагничивая машин-inspection&packing-бывшую фабрику
