Насосы грязи муфты BJS385-135-233A для буровых установок.
Муфта BJS385-135-233A сравненная с типом прямым соединением CL зуба, типом соединением барабанчика имеет преимущества компактной текстуры, небольшого поворачивая радиуса, большой величины наибольшей допускаемой нагрузки на опору, высокого цикла кпд передачи, малошумных и длинных обслуживания.
Муфта BJS385-135-233A, GICL, соединения шестерни барабанчика серии giicl особенно соответствующая для условий низкоскоростных и тяжелого груза, как металлургия, минирование, поднимать и индустрии транспорта, так же, как shafting передача различных видов машинного оборудования как нефть, химического, общего машинного оборудования, etc.
Муфта механическое приспособление которое включает и отключает передачу энергии особенно от управляя вала к управляемому валу.
В самом простом применении, муфты соединяют и отключают 2 вращая вала (валы привода или линия валы). В этих приборах, один вал типично прикреплен в двигатель или другой источник питания (управляя член) пока другой вал (управляемый член) обеспечивает силу выхода для работы. Пока типично включили движения, который роторны, линейные муфты также возможны.
В контролируемом вращающ сверле, например, одном вале управляет мотором и другими приводами патрон для зажимания сверла. Муфта соединяет 2 вала поэтому они могут запереться совместно и закрутка на такой же (включенной) скорости, запереться совместно исклучая закручивать на различные скорости (смещать), или открыться и закручивать на различные (отключенные) скорости.
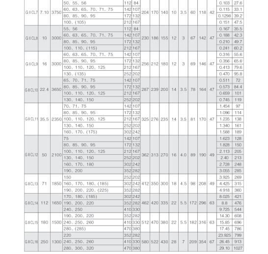
Соединение шестерни барабанчика
· Модель: ТипⅡ GCL
· Вращающий момент Norminal: 0.4kN. M - 4500kN. M
· Позволенная скорость вращения: 4000rpm - 460rpm
· Соединение: Отверстие шпоночного соединения & вала
· Диаметр отверстия вала: 16mm до 1040mm
· Длина отверстия вала (y): 42mm до 1000mm
· Применения: Металлургия, минирование, подниматься и индустрии транспорта, нефть, химическое, общее машинное оборудование и другой привод вала тяжелой техники.
типа GIICL запаянный конец соединения шестерни барабанчика интегрированный тип, ширина космоса зуба небольшой, позволяемое радиальное смещение небольшой, компактные текстуры, небольшая инерция, и может соединить y, отверстие вала J1-type.




особенности типа Барабанчик шестерни соединяя (сравненные с типа прям соединением):
1. Высокая пропускная способность
Величина наибольшей допускаемой нагрузки на опору типа барабанчик соединения шестерни 15 до 20% более высокие чем это из типа прям соединения в таком же наружном диаметре и максимальном наружном диаметре соединения.
2. Большая компенсация сдвига углов
Когда радиальное смещение равно до нул, позволяемый сдвиг углов соединения прям-зуба 1°, но позволяемый сдвиг углов соединения барабанчика типа шестерн 1°30», увеличенное 50%. С таким же модулем, номер зуба, ширина зуба, позволяемый сдвиг углов зубов барабанчика больше чем прямых зубов.
3. типа Барабанчик поверхность шестерни улучшала внутреннее и внешние условия контакта, которое избегает недостатков сдвига углов нижнечелюстных штранг-прессования и концентрации напряжений края зуба, в то же время улучшают трение поверхности зуба, условия носки, уменьшая шум, длинный цикл обслуживания.
4. Конец зуба наружного набора зубов форма рожка, так, что внутренние и внешние собрание и разборка зуба будут очень удобны.
5. Кпд передачи до 99,7%.

| Использование: | Снаряжение сверла | Применение: | Транспортировать грязь и топить жидкости |
|---|---|---|---|
| Структура: | Насос поршеня | Стандартный или нештатный: | Стандарт |
| Тип: | Насос грязи | Название продукта: | Насос грязи |
| OEM: | Применимый | Условие: | Новый |
Части насоса грязи моделируют нас могут сделать
|
BOMCO |
F-500 |
F-800 |
F-1000 |
F-1300 |
F-1600 |
F-1600HL |
F-1600L |
F-2200HL |
|
Hong Hua |
HHF-500 |
HHF-800 |
HHF-1300 |
HHF-1600 |
3NB-1600F |
5NB-1600 |
5NB-2400 |
|
| HRSB | RSF-1300 | RSF-1600 |
|
|||||
|
RG |
RGF-800 | RGF-1000 | RGF-1300 | RGF-1600 |
|
|||
|
Ланьчжоу |
3NB1000C |
3NB1300C |
3NB1600F |
3NB1600L |
|
|
|
|
|
EMSCO |
F-500 |
F-800 |
F-1000 |
F-1300 |
F-1600 |
FD-1000 |
FC-2200 |
FB-1300 |
|
Gardner Денвер |
PAH |
P7 |
P8/9 |
P10/11 |
|
|
|
|
|
Национальный |
7-P-50 |
8-P-80 |
9-P-100 |
10-P-130 |
12-P-160 |
14-P-200 |
14-P-220 |
|
|
Нефтяная скважина |
A-850-PT |
A-1100-PT |
A-1400-PT |
A-1700-PT |
|
|
|
|
|
TSC |
WF-500 |
WF-800 |
WF-1000 |
WF-1300 |
WF-1600 |
WF-2000 |
WF-2200 |
|
|
IDECO |
T-500 |
T-800 |
T-1000 |
T-1300 |
T-1600 |
|
|
|
|
РОССИЯ |
UNBT-1180L |
UNBT-950A |
UNB-600 |
|
|
|
|
вопросы и ответы
1) как могу я сделать заказ заказ?
: Вы можете контактировать нас электронной почтой о ваших деталях заказа, или заказ места на линии.
2) Как могу я оплатить вас?
: После того как вы подтвердите наш PI, мы спросим, что вы оплатили. T/T самые обычные пути мы используем.
3) Что процедура по заказа?
: Во первых мы обсуждаем детали заказа, детали продукции. После этого мы выдаем вас PI для вашего подтверждения. Вы будете спрошены, что сделали pr-e оплатили полные оплату или депозит прежде чем мы пойдем в продукцию. После того как мы получаем депозит, мы начинаем обрабатывать заказ. Нам обычно нужны 15-25 дней если мы не имеем детали в запасе. Прежде чем продукция закончена, мы контактируем вас для деталей пересылки, и оплату баланса. После того как оплата была установлена, мы начинаем подготовить пересылку для вас.
4) Как вы заботитесь когда ваши клиенты получили неполноценные продукты?
: замена. Если некоторые неполноценные детали, то мы обычно кредитуем к нашему клиенту или заменяем в следующей пересылке.
5) Как вы проверяете все товары в производственной линии?
: Мы имеем осмотр пятна и законченный контроль продукции. Мы проверяем товары когда они идут в процедуру по продукции следующего шага.
Больше взгляда клиента: НАСОСЫ ГРЯЗИ 42-EMSCO PARTS-yindapump.com.pd f