06TTA266 120HP Carlyle винтовой охлаждающий воздушный охлаждающий полугерметический компрессор R134aОписание
1Спецификация продукта
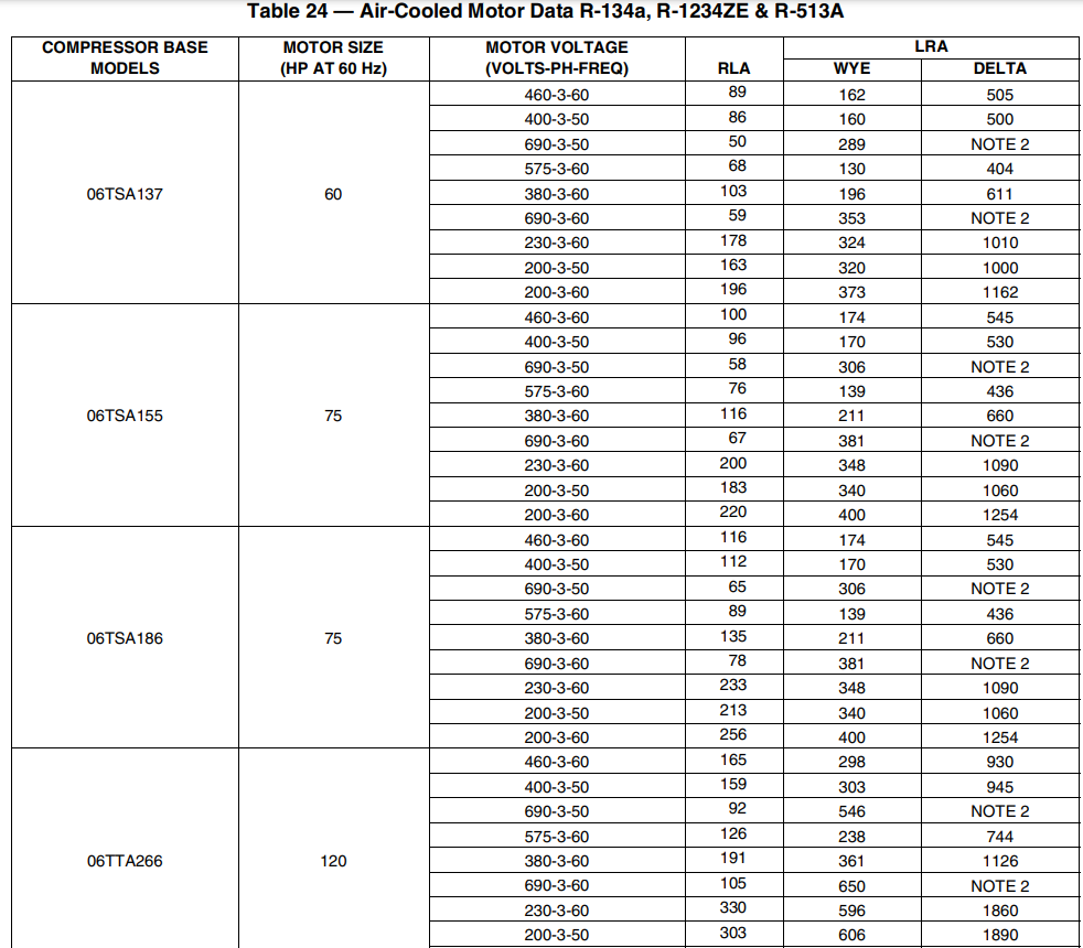
| Модель | 06TTA266 |
| Рефрижератор | R134a/R513A |
| HP | 120 |
| Силовое питание [V/~/Hz] |
200/400/690В-3-50Гц 230/380/460/575/690В-3-60Гц |
| МОК | 1 |
2.Особенности продукта
Непревзойденная производительность
·35-550 RTon (50 Hz, без экономизатора)
·Рефрижераторы, такие как R134a/R22/R404A/R407C/R507/R448A/R449A
·Условия кондиционирования или охлаждения
·Эффективный патентованный дизайн геометрических линий
·Ведущая в мире технология обработки
Совершенное соответствие нагрузки
·Регулирование энергии без шагов 100% ~ 15%
·Vi оптимизация при частичной нагрузке
·Простое управление двойным соленоидным клапаном
Надежные подшипники SKF или NSK
·Хорошие уплотнения уменьшают нагрузку
·Долгий срок службы, отсутствие необходимости проверки или замены во время обслуживания
·Конструкция мощного подшипника тяги
·Не требуется масляного насоса
Высокое качество и надежность
·Проверено на 100% на заводе
·Меньше деталей - меньше шансов на повреждение и простои
·Процессовая инспекция
3. Подробная информация о производстве



Shenzhen Ruifujie Technology Co., Ltd. имеет историю более 20 лет. Это крупномасштабное современное предприятие, специализирующееся на НИОКР, производстве и продаже холодильных изделий.Компания имеет большие преимущества в торговле компрессорами и холодильными аксессуарами, и тесно сотрудничает с крупными производителями компрессоров по всему миру.
Компания разрабатывает и производит скрутные, поршневые и винтовые компрессоры, которые экспортируются по всему миру.и флейковый ледокольный аппаратВ последние годы, компания была в поясе и дороге. под защитой проекта, мы постоянно решали проблемы на зарубежных рынках,быстро развивается, и построил ряд инженерных проектов современного значения.
Компания достигла прорыва в области послепродажного обслуживания, проектирования, установки, обслуживания и технического консультирования,и установил долгосрочное тесное сотрудничество со многими странами мира..
Основываясь на принципеПреданность, честность, новаторство, преданность”Мы будем продолжать предоставлять высококачественные продукты для новых и старых клиентов.


4.Квалификация продукта
Сертификат, сертификат, патентный сертификат:
1)."Сертификация системы менеджмента качества"
2)."Сертификация Шэньчжэньского научно-технологического предприятия"
3)."Квалификационный сертификат предприятия по техническому обслуживанию и установке холодильного оборудования"
5. часто задаваемые вопросы
Вопрос: Можно использовать собственный логотип?
О: Да, мы можем напечатать ваш личный логотип в соответствии с вашим запросом.
Вопрос: Каков способ упаковки и доставки??
Ответ: По морю:Экспорт деревянной упаковки с охлаждающим маслом.
По воздуху: полностью запечатанная деревянная упаковка без хладагентного масла.
Вопрос: Из какого порта вы отправляете грузы?
А:Гуанчжоу/Шэньчжэнь.
В: Когда я могу получить цену?
О: Обычно мы цитируем в течение 8 часов после получения вашего запроса.
Вопрос: каков ваш MOQ?
Если у нас есть продукция на складе, это не будет MOQ.
Мы можем обсудить MOQ в соответствии с конкретной ситуацией клиента.
Вопрос: Какой срок оплаты?
О: 30% аванс до производства и 70% остаток перед отправкой.
Вопрос: Какой срок оплаты?
A: T / T, Western Union.