Индукторы силы серии HCB0404/0505 сильнотоковые, индукторы силы SMD, настоящий ряд 14A-40A
ОСОБЕННОСТИ:
· Сильнотоковая пропускная способность
· Низкие потери в сердечнике
· Ряд индуктивности от 22nH к 110nH
· Настоящий ряд от 14A к 40A
· Вещество активной зоны феррита
APPLCATIONS:
· Портативная электроника
· Серверы и рабочие места
· Системы обработки данных в сети и хранения
· Тетрадь и настольные компьютеры
· Видеокарты и электрические системы батареи
· Многофазовые регуляторы
· Модуль регулятора напряжения тока (VRM)
ПРИМЕЧАНИЯ:
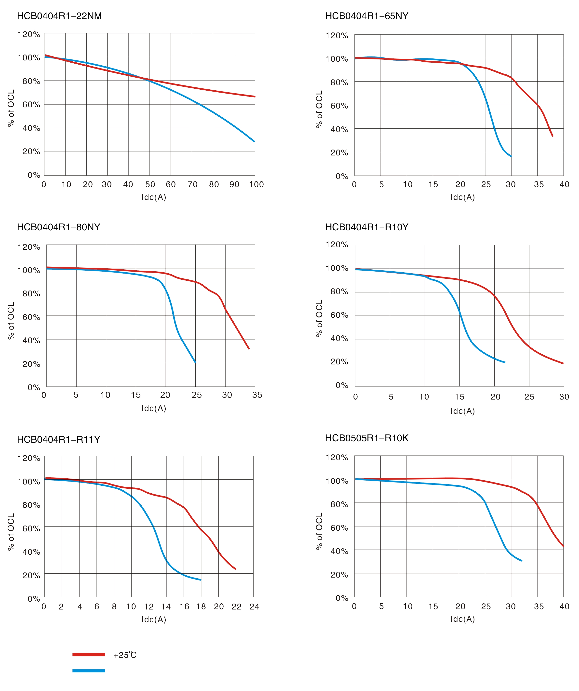
· Частота теста: ℃ 100KHz/0.1V@25 (1MHz/0.1V для 22NM)
· Irms: DC настоящий для приблизительного повышения температуры 40℃ без потерь в сердечнике
· Isat1: Течение пика для rolloff приблизительно 20% на +25℃
· Isat2: Течение пика для rolloff приблизительно 20% на +125℃
· Рабочая температура: -40℃ к +125℃ (окружающему добавочному подъему само-температуры)
· Температура хранения: -40℃ к +125℃


Примечание: Технические характеристики изделия можно подгонять.