Многоканальный потенциостат Corrtest модели CS310X - универсальный прибор, предлагающий 8 слотов. Полностью плавающий модуль и конструкция с электрической изоляцией гарантируют полную независимость каждого канала, что обеспечивает точные данные и эффективные одновременные измерения. Многоканальный потенциостат модели CS310X приносит удобство тем, у кого много образцов, и является идеальным устройством для исследований энергетических материалов, тестирования аккумуляторов и т. д. Количество многоканальных потенциостатов может быть настроено. Различные конфигурации гарантируют получение желаемого продукта, соответствующего различным бюджетам.
| Многоканальный потенциостат модели CS310X (±1A, ±10В) Каждый канал независим |
|||
| Модель: CS310X | |||
|
Опция A 4-канальный, |
Опция B 4-канальный, |
Опция C 8-канальный, |
Опция D 8-канальный, |
Количество каналов можно расширить, добавляя и устанавливая больше плат, благодаря интеллектуальному шасси и конструкции с возможностью подключения. Диапазон управления потенциалом каждого канала составляет 10 В, диапазон управления током ±1 А, что может удовлетворить требования эксперимента для большинства людей.


Применение многоканального потенциостата модели CS310X
● Исследование энергетических материалов (литий-ионные аккумуляторы, солнечные элементы, топливные элементы, суперконденсаторы), передовые функциональные материалы
● Электросинтез, гальваническое покрытие/электроосаждение, анодное окисление, электролиз
● Исследование коррозии и оценка коррозионной стойкости металлов; быстрая оценка ингибиторов коррозии, покрытий и эффективности катодной защиты
● Электрокатализ (HER, OER, ORR, CO2RR, NRR)
Технические характеристики многоканального потенциостата модели CS310X
| Многоканальный потенциостат Технические характеристики | |
| Количество каналов: 4~8 | Сопротивление изоляции канала: >100MΩ |
| Связь: Ethernet | Фильтр нижних частот: охватывает 8 десятилетий |
| Диапазон управления потенциалом: ±10 В в каждом канале | Диапазон управления постоянным током: ±1 А каждый канал |
| Точность потенциала: 0,1%×полный диапазон±1 мВ | Точность тока: 0,1%×полный диапазон |
| Разрешение по потенциалу: 10μВ(>100 Гц), 3μВ(<10 Гц) | Разрешение по току: 1 пА |
| Время нарастания потенциала: ﹤1μс(<10 мА),<10μс(<2 А) | Диапазон тока: 2 нА ~1 А, 10 диапазонов |
| Входное сопротивление электрода сравнения: 1012Ω||20пФ | Максимальный выходной ток: 1 А |
| Напряжение соответствия: ±21 В | Приращение тока во время сканирования: 1 мА при 1 А/мс |
| Скорость сканирования CV и LSV: 0,001 мВ~10000 В/с | Приращение потенциала во время сканирования: 0,076 мВ при 1 В/мс |
| Ширина импульса CA и CC: 0,0001~65000 с | Ширина импульса DPV и NPV: 0,0001~1000 с |
| Частота SWV: 0,001~100 кГц | Минимальное приращение потенциала CV: 0,075 мВ |
| Сбор данных AD: 16 бит при 1 МГц, 20 бит при 1 кГц | Частота IMP: 10μГц~1 МГц |
| Разрешение DA: 16 бит, время настройки: 1μс | Диапазон тока и потенциала: автоматический |
| Требования к операционной системе: Windows 10 /11 | Вес: 12,5 кг Размеры: 40*40*14 см |
| Электрохимическая импедансная спектроскопия (ЭИС) | |
| Генератор сигналов | |
| Диапазон частот ЭИС: 10μГц~1 МГц | Амплитуда переменного сигнала: 1 мВ~2500 мВ |
| Точность частоты: 0,005% | Разрешение сигнала: 0,1 мВ RMS |
| Выходное сопротивление DDS: 50Ω | Смещение по постоянному току: -10 В~+10 В |
| Искажение волны: <1% | Форма волны: синусоидальная волна, треугольная волна, прямоугольная волна |
| Режим сканирования: логарифмический/линейный, увеличение/уменьшение | |
| Анализатор сигналов | |
| Максимальное время интегрирования: 106 циклов или 105с | Задержка измерения: 0~105С |
| Минимальное время интегрирования: 10 мс или самое долгое время цикла | |
| Компенсация смещения по постоянному току | |
| Диапазон компенсации потенциала: -10 В~+10 В | Диапазон компенсации тока: -1 А~+1 А |
| Регулировка полосы пропускания: автоматическая и ручная, диапазон частот 8 десятилетий | |
Преимущества
Высокий ток/напряжение: Применяемый диапазон потенциала ±10 В, ток ±1 А. Он может удовлетворить потребности большинства исследований. Низкая стоимость: Цена включает в себя хост прибора, программное обеспечение (управление экспериментом и обработка данных), необходимые кабели, макетную ячейку. Каждый канал эквивалентен независимому потенциостату. Если вы рассчитаете стоимость на канал, она будет намного ниже, чем у одноканального потенциостата.
Комплексные методы: Встроенный ЭИС (10μГц~1 МГц). На каждом канале есть комплексные методы.
Гарантия: 5 лет гарантии. Мы являемся производителем, и наши инженеры предоставят техническую поддержку в любое время, когда вам понадобится. Надежность и качество: Мы работаем на рынке 20 лет, и сейчас являемся брендом потенциостатов № 1 в Китае
Методы - многоканальный потенциостат
| Стабильная поляризация |
Потенциал разомкнутой цепи (OCP) |
| Потенциостатический (кривая i-t) | |
| Гальваностатический (кривая E-t) | |
| Потенциодинамический (Тафеля) | |
| Гальванодинамический | |
| Переходная поляризация |
Многоступенчатые потенциалы |
| Многоступенчатые токи | |
| Потенциальная ступенчатая функция (VSTEP) | |
| Гальваническая ступенчатая функция (ISTEP) | |
| Хроно методы |
Хронопотенциометрия (CP) |
| Хроноамперометрия (CA) | |
| Хронокулометрия (CC) | |
| Вольтамперометрия | Циклическая вольтамперометрия (CV) |
| Линейная развертывающая вольтамперометрия (LSV) (кривая I-V) | |
| Ступенчатая вольтамперометрия (SCV) # | |
| Квадратная волновая вольтамперометрия (SWV) # | |
| Дифференциальная импульсная вольтамперометрия (DPV)# | |
| Нормальная импульсная вольтамперометрия (NPV)# | |
| Дифференциальная нормальная импульсная вольтамперометрия (DNPV)# | |
| Переменная вольтамперометрия (ACV) # | |
| 2-я гармоническая переменная вольтамперометрия (SHACV) | |
| Тестирование аккумуляторов | Зарядка и разрядка аккумулятора |
| Гальваностатическая зарядка и разрядка (GCD) | |
| Потенциостатическая зарядка и разрядка (PCD) | |
| Потенциостатическая прерывистая титрационная техника (PITT) | |
| Гальваностатическая прерывистая титрационная техника (GITT) | |
| ЭИС /Импеданс |
Потенциостатическая ЭИС (Найквиста, Боде) |
| Гальваностатическая ЭИС | |
| Потенциостатическая ЭИС (Необязательная частота) | |
| Гальваностатическая ЭИС (Необязательная частота) | |
| Мотт-Шоттки | |
| Потенциостатическая ЭИС против времени (одна частота) | |
| Гальваностатическая ЭИС против времени (одна частота) | |
| Коррозия измерение |
Кривая циклической поляризации (CPP) |
| потенциодинамическая (Тафеля) | |
| Кривая линейной поляризации (LPR) | |
| Электрохимическая реактивация потенциокинетики | |
| Электрохимический шум (ECN) | |
| Амперметр с нулевым сопротивлением (ZRA) | |
| Амперометрия | Дифференциальная импульсная амперометрия (DPA) |
| Двойная дифференциальная импульсная амперометрия (DDPA) | |
| Тройная импульсная амперометрия (TPA) | |
| Интегрированное импульсное амперометрическое детектирование (IPAD) |
Одновременные измерения
С помощью многоканального потенциостата модели CS310X вы можете одновременно запускать один и тот же эксперимент для каждого канала. Установите одни и те же параметры для каждого эксперимента один раз и запустите все независимо. Это особенно полезно, когда у вас много образцов для одного теста.

Вы также можете выбрать разные методы в каждом канале многоканального потенциостата. Установите параметры для каждого эксперимента по одному и запустите каждый эксперимент независимо. Как показано на рисунке справа, тестируются ЭИС, гальваностатическая зарядка и разрядка, циклическая вольтамперометрия и тест кривой поляризации.

Технические преимущества
1. Импеданс (ЭИС)
Многоканальный потенциостат Corrtest модели CS310X применяет алгоритм корреляционного интегрирования и метод двухканальной передискретизации и обладает высокой антиинтерференционной способностью. Он подходит для измерений ЭИС систем с высоким импедансом (>109Ω, таких как покрытия, бетон и т. д.).


ЭИС сплава Al AA6063 в Ce3+ содержащем 3% раствор NaCl Кривая поляризации аморфного сплава на основе Ti и нержавеющей стали в 3% растворе NaCl
2. Кривая поляризации
Можно получить график Тафеля. Пользователь может установить анодный обратный ток (ток разрушения пассивационной пленки) кривой циклической поляризации, чтобы получить потенциал питтинга и потенциал защиты материала и оценить его восприимчивость к межкристаллитной коррозии. Программное обеспечение использует нелинейную подгонку для анализа кривой поляризации и может быстро оценить антикоррозионную способность материала и ингибиторов.
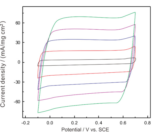
3. Вольтамперометрия
Многоканальный потенциостат модели CS310X включает в себя линейную развертывающую вольтамперометрию (LSV), циклическую вольтамперометрию (CV), SCV, SWV, DPV, NPV, ACV, вольтамперометрию с удалением и т. д. Он интегрирует расчет площади пика, тока пика и анализ стандартной кривой.


LSV: мезопористый углеродный материал в 0,1 М KOH CV суперконденсатора PPy в 0,5 моль/л H2SO4
4. Электрохимический шум
С высокоомным повторителем и амперметром с нулевым сопротивлением он измеряет естественные колебания потенциала/тока в коррозионной системе. Его можно использовать для изучения питтинговой коррозии, гальванической коррозии, щелевой коррозии и коррозионного растрескивания под напряжением и т. д. На основе расчета сопротивления шуму и индекса питтинга он может завершить мониторинг локализованной коррозии.
5. Полностью плавающее измерение
Многоканальный потенциостат поддерживает полностью плавающий режим, который можно использовать для электрохимических измерений в автоклаве, онлайн-мониторинга коррозии металлических компонентов под землей (арматура в бетоне и т. д.)
6. Комплект разработки программного обеспечения (SDK)
Многоканальный потенциостат поддерживает клиентов для второй разработки. Мы можем предоставить функции API и примеры разработки, что облегчает требования некоторых пользователей к вторичной разработке и самоопределяемым измерениям. Мы можем предоставить файл .dll.
Стандартная поставкамногоканального потенциостата модели CS310X:Хост прибора CS310X - 1 комплект
Программное обеспечение для тестирования и анализа CS studio - 1 комплект
Кабель питания - 1 шт., кабель Ethernet - 1 шт.
Кабель ячейки –8 (вариант A&B) /16 (вариант C&D) шт.,
Макетная ячейка –4 (вариант A&B) /8 шт. (вариант C&D)
Обслуживание (все обслуживание, ремонт абсолютно бесплатны)
Гарантийный срок: 5 лет.
Предоставьте руководство по установке, руководство, видео по установке программного обеспечения и учебные видео.
Бесплатный ремонт
Пожизненное обновление программного обеспечения и техническое обслуживание.