Электрохимическая импедансная спектроскопия потенциостат CS350Mсостоит из высокопроизводительного высокоточного потенциостата/гальваностата, генератора произвольной функции DDS, двухканального анализатора корреляции,Двуканальные высокоскоростные 16-битные/высокоточные 24-битные AD-конвертеры и интерфейсы расширения и т.д.Максимальный ток составляет ±2А, диапазон потенциала ±10В. Напряжение соответствия составляет ±21В. Диапазон частот электрохимической импедантной спектроскопии (EIS) составляет 10uHz~1MHz.Он может быть использован для различных электрохимических полей, таких как коррозияДля электрохимической импедансной спектроскопии EIS, тока может быть увеличена до 20A/40A с помощью усилителя тока CS2020B/CS2040B.Мы предоставляем 7 различных методов EIS для удовлетворения различных требований, такие как потенциостатическая EIS (Nyquist, Bode), гальваностатическая EIS, потенциостатическая EIS (необязательная частота), гальваностатическая EIS ((необязательная частота), Mott-Schottky, потенциостатическая EIS против времени (одиночная частота),Гальваностатическая СЭС против. Время (одиночная частота). Все Кортест Электрохимический импеданс спектроскопии потенциостат обеспечивает эквивалентную схему в программном обеспечении.

Что такое электрохимическая импедантная спектроскопия?
Электрохимическая импидансная спектроскопия (EIS) предоставляет кинетические и механистические данные электрохимических систем и широко используется в исследовании коррозии, преобразовании и хранении энергии, датчиках и биочувствиях,Электрохимическая импедантная спектроскопия (ЭИС) обычно измеряется путем применения потенциала переменного тока к электрохимической ячейке, а затем измерения тока через ячейку.Электрохимическая импедантная спектроскопия характеризует временную реакцию электрохимических систем, использующих напряжения переменного тока низкой амплитуды (AC) в диапазоне частотИспользуя электродную установку, состоящую из рабочего, отсчетного,и противоэлектроды известное напряжение передается от рабочего электрода через электролитический раствор и в противоэлектродКоличественные измерения производятся EIS и позволяют оценивать мелкомасштабные электрохимические механизмы на интерфейсе электрода и внутри электролитического раствора.Данные, собранные с помощью EIS, моделируются с помощью подходящей электрической эквивалентной схемыВ результате расположения элементов очень немногие электрохимические элементы могут быть смоделированы с использованием одного эквивалентного элемента цепи.Модели EIS обычно состоят из ряда элементов сетиКак серийные, так и параллельные комбинации.
элементов происходят.
Применение Электрохимическая импедансная спектроскопия потенциостат CS350M
ВилиРозион: Электрохимическая импедансная спектроскопия потенциостат CS350Mвключает все электрохимические методы измерения коррозии, такие как OCP, кривая поляризации (потенциодинамическая), EIS, циклическая поляризация CPP (кривая пассивации),Электрохимическая потенциокинетическая реактивация (EPR), испытание диффузии водорода, ZRA, электрохимический шум и т. д. Он может быть использован для изучения механизма коррозии металлов и коррозионной устойчивости,и оценить долговечность покрытия и эффективность жертвенного анодаОн также может быть использован для быстрой скрининга ингибиторов коррозии, фунгицидов и т. д.
Он использует алгоритм корреляционного интеграла и двухканальный метод переборки, и имеет сильную антиинтерференционную способность.13Ω. Подходит для измерений EIS высокоимпедантной системы (такой как покрытие, бетон и т.д.)
Испытание старения высокоимпедантного покрытия соляным спреем


Слева: кривые поляризации Ти-сплава и нержавеющей стали в 3%-м растворе NaCl Право: ECN низкоуглеродной стали в 0,05mol/LCl+0,1mol/LNaHCO3
Енервный
С помощью методов LSV, CV, гальваностатического заряда и разряда (GCD), гальваностатического EIS и точной IR-компенсационной схемы,Электрохимическая импедансная спектроскопия потенциостат CS350Mшироко используются в суперконденсаторах, литиево-ионных батареях, натриево-ионных батареях, топливных батареях, литиево-сильных батареях, солнечных батареях, твердотельных батареях, поточных батареях, металлических воздушных батареях и т. д.Он является отличным научным инструментом для исследователей в области энергетики и материалов..

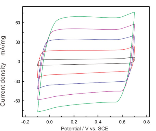
Кривая CV суперконденсатора PPy в растворе 0,5 mol/L H2SO4

Электрокатализ
●Электрохимическая импедансная спектроскопия потенциостат CS350Mможет измерить полуволновую
потенциал (ORR), сверхпотенциал (HER, OER) катализатора, и имеет функцию расчета пиковой плотности мощности и плотности энергии.
● длительное циклическое измерение ORR, OER, HER,
CO2RR с помощью таких методов, как циклическая вольтметрия,
Эффективность Фарадея можно измерить с помощью бипотенциостата.
Кривая LSV катализаторов в щелочных растворах

● Максимальный ток может составлять 20 А, а напряжение соответствия может составлять 30 В, и с техникой инфракрасной компенсации,
Электрохимическая импедансная спектроскопия потенциостат CS350Mможет точно измерить сверхпотенциал электрода, что является большим преимуществом в электрокатализе.
Программное обеспечение Электрохимическая импедансная спектроскопия потенциостат CS350M
Циклическая вольтметрия:Программное обеспечение CS Studio предоставляет пользователям универсальныйНичего.дифференциальная/интеграциякомплект,В технике CV, во время анализа данных, есть функция выбора точных циклов, которые нужно показать.
Площадка тафеля и скорость коррозии:CS studio также обеспечивает мощное нелинейное приспособление на уравнении Батлера-Волмера кривой поляризации.сопротивление поляризацииОн также может рассчитывать плотность спектра мощности, сопротивление шуму и сопротивление спектра шума на основе измерений ECN.

Испытание и анализ батареи:
Эффективность зарядки и разрядки, емкость, специфическая емкость, энергия зарядки и разрядки.

Электрохимическая импедантная спектроскопия(EIS) анализ:Боде, Найквист, Мотт-Шоттки
Во время анализа данных EIS существует встроенная функция монтажа, позволяющая нарисовать эквивалентную схему по заказу.

| СпецификацииЭлектрохимическая импедансная спектроскопия потенциостат CS350M | |
| Система поддержки 2-х, 3-х или 4-х электродов | Диапазон потенциала и тока: автоматический |
| Диапазон управления потенциалом: ±10В | Диапазон управления током: ±2A |
| Точность потенциального управления: 0,1% × полный диапазон±1 мВ | Точность управления током: 0,1% × полный диапазон |
| Разрешение потенциала: 10μV (>100Hz),3μV (<10Hz) | Чувствительность тока:1pA |
| Время подъема: <1μs (<10mA), <10μs (<2A) | Импеданс входа на эталонный электрод:1012Посмотрите на себя. |
| Диапазон тока: 2nA ~ 2A, 10 диапазонов | Напряжение соответствия: ±21V |
| Максимальный выходный ток: 2A | Скорость сканирования CV и LSV: 0,001mV~10,000V/s |
| Ширина импульсов CA и CC: 0,0001 ~ 65,000s | Увеличение тока во время сканирования: 1mA@1A/ms |
| Повышение потенциала во время сканирования: 0,076mV@1V/ms | Частота SWV: 0,001 ~ 100 кГц |
| Ширина импульсов DPV и NPV: 0,0001 ~ 1000s | Приобретение данных AD: 16 бит@1 МГц, 20 бит@1 кГц |
| Разрешение DA: 16 бит, время настройки: 1 мкм | Минимальный потенциальный прирост ВВ: 0,075 мВ |
| Частота IMP: 10μHz~1MHz | Фильтры низкого пропускания: охватывающие 8 лет |
| Операционная система: Windows 10/11 | Интерфейс: USB 2.0 |
| Вес / Размеры: 6,5 кг, 36,5 х 30,5 х 16 см | |
| Электрохимическая импедантная спектроскопия (EIS) | |
| Генератор сигнала | |
| Диапазон частот:10μHz~1MHz | Амплитуда переменного тока:1mV~2500mV |
| Дисплейное преимущество: -10 ~ +10В | Выходное сопротивление: 50Ω |
| Форма волны: синусная, треугольная и квадратная волны | Извращение волны: < 1% |
| Режим сканирования: логарифмический/линейный, увеличение/уменьшение | |
| Анализатор сигнала | |
| Интегральное время: минимум:10 мс или самое длительное время цикла | Максимальное:106циклы или 105с |
| Задержка измерения: 0~105с | |
| Компенсация за смещение постоянного тока | |
| Диапазон потенциальной автоматической компенсации: -10V~+10V | Диапазон компенсации тока: -1A~+1A |
| Пропускная способность: диапазон частот 8 десятилетий, автоматическое и ручное настройки | |
Техники -Электрохимическая импедансная спектроскопия потенциостат CS350M
Спектр электрохимической импеданциисКопия (ЭИС)
Стабильная поляризация
Периодическая поляризация
Метод хроно
Вольтметрия
Измерения коррозии
Испытание батареи
Амперометрический
ЕxteПротиводействие
# Есть соответствующий метод раздевания.
Вопрос:WHy индуктивная реактивность появляется в высокочастотныхРегиониз Электрохимическая импедантная спектроскопия(ЭИС)?
Ответ: Индуктивная реактивность в основном вызвана катушкой. Индуктивная реактивность положительно коррелирует с длиной и частотой катушки и отрицательно коррелирует с радиусом катушки.Это будет более очевидно в области высокой частоты и низких систем сопротивления (таких как батареи)Чтобы уменьшить его, попробуйте укоротить электродный кабель, а также обратите внимание на то, чтобы вокруг инструмента или образца не было других катушек.
Вопрос:WКурица измеряетЭлектрохимическая импедантная спектроскопия(EIS), мне нужноподождите некоторое время перед измерением послестроитьСсылки- Да.испытанияСистема?
Ответ: При проведении испытаний EIS следует убедиться, что испытательная система стабильна, и, как правило, достаточно наблюдать за OCP. Некоторые системы, такие как цинковоздушные батареи, должны подождать, чтобы стабилизироваться после сборки.В то время как некоторыеОценка OCP является стандартом.
Вопрос:Нет.полукругвМой...электрохимическая импедантная спектроскопия (ЭИС)испытаниеВ чем проблема?
Ответ: Не все образцы имеют небольшой полукруг в EIS. Малый полукруг существует в области высокой частоты, которая контролируется передачей заряда. Прямая линия существует в области низкой частоты,который контролируется диффузиейДля углеродного материала емкость может быть относительно большой, показывая дугу вместо полукруга.
Вопрос: Почему горизонтальные и вертикальные координаты должны быть последовательными при планированииЭлектрохимическая импедантная спектроскопия(ЭИС)?
Ответ: Потому что это сложная плоскость. Это математическое требование.