Система машинного зрения для контроля качества пластиковых бутылок/преформ на основе ИИ
В последние годы безопасность продуктов питания и лекарств стала горячей темой в современном обществе. Поэтому очень важно строго контролировать гигиену в процессе производства и обеспечивать безопасность продуктов питания и лекарств. В последние годы, с быстрым развитием технологий упаковки в пищевой, медицинской и других отраслях, требования производственных предприятий к тестированию качества упаковки продукции также становятся все выше и выше. Преформы ПЭТ являются полуфабрикатами для бутылок для упаковки напитков, которые неизбежно имеют дефекты в процессе производства. В настоящее время преформа имеет такие проблемы, как сломанное опорное кольцо, облой, пустоты, отсутствие клея, пузырьки воздуха, сломанное горлышко бутылки, овальность, примеси и т. д., которые прямо или косвенно приводят к несоответствию конечного продукта и приносят огромные убытки предприятию. Как отбраковать дефектные бутылки до розлива - важная тема в производстве ПЭТ-бутылок.
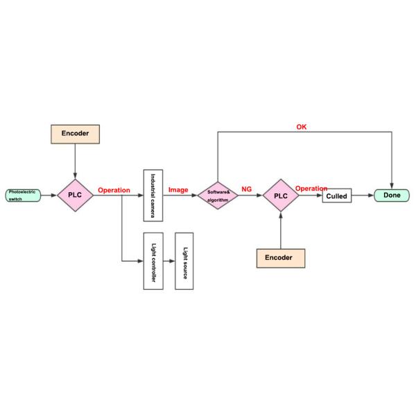
Принцип инспекции
Когда преформа ПЭТ-бутылки попадает в инспекционную машину, фотоэлектрический датчик запускает сигнал, и инспекционная система начинает отслеживать продукт и готовиться к сбору изображений. В соответствии с позиционированием программы отслеживания системы определяется, что бутылка достигла заданной позиции, и система выдает инструкции по источнику света и сбору изображений. С помощью специального источника света система будет собирать изображения в режиме реального времени.

После завершения сбора изображений они передаются в модуль обработки изображений для идентификации и анализа алгоритмов. , чтобы определить, соответствует ли продукт требованиям, и передать сигнал в систему управления для подготовки к отбраковке неквалифицированной продукции. Когда программа отслеживания обнаруживает, что продукт достигает позиции отбраковки, система управления уведомляет механизм отбраковки о выполнении действия по отбраковке дефектного продукта.
Обзор оборудования
Общее оборудование для обнаружения оснащено 10 комплектами промышленных камер с высоким разрешением для всестороннего обнаружения дефектов внешнего вида внешней стороны преформы бутылки, отверстия преформы и дна преформы. После того, как система соберет изображение образца, программное обеспечение для обработки изображений сравнивается со стандартизированным образцом для определения хорошего и плохого продукта.
| Модель | Камеры | Диапазон обнаружения | Содержание обнаружения | Точность обнаружения | Точность | Частота ложных срабатываний | Скорость обнаружения |
| KVIS-SC10 | 4 комплекта | Вокруг преформы бутылки | Черные пятна, пузырьки, примеси (разных цветов) | ≥0,3 мм | 99% | ≤0,2% |
70 шт/мин |
| 1 комплект | Основание преформы | Черное пятно, отверстие | ≥1,5 мм | 99% | ≤0,2% | ||
| 4 комплекта | Отверстие преформы | Черные пятна, пятна, примеси (разных цветов) | ≥0,2 мм | 99% | ≤0,2% | ||
| Перекрытие, недостаток материала | ≥1 мм | 99% | ≤0,2% | ||||
| 1 комплект | Опорное кольцо | Недостаток материала | ≥1 мм | 99% | ≤0,2% |
Ключевая технология
1) Камера:Выбраны промышленные камеры с высокой стабильностью, высокой пропускной способностью и высокой помехозащищенностью. Промышленные камеры также широко известны как камеры. По сравнению с традиционными гражданскими камерами (камерами) они обладают высокой стабильностью изображения, высокой пропускной способностью и высокой помехозащищенностью. CCD в настоящее время является наиболее широко используемым датчиком изображения в машинном зрении. Он объединяет фотоэлектрическое преобразование, хранение заряда, перенос заряда и считывание сигнала и является типичным твердотельным устройством формирования изображений. Выдающейся особенностью CCD является использование электрического заряда в качестве сигнала, что отличается от других устройств, использующих ток или напряжение в качестве сигнала. Такие устройства формирования изображений формируют пакеты зарядов посредством фотоэлектрического преобразования, а затем передают и усиливают выходные сигналы изображения под действием управляющих импульсов.
2) Объектив:Промышленный объектив является очень важным компонентом формирования изображений в системе машинного зрения. Если система хочет полностью реализовать свою функцию, промышленный объектив должен соответствовать требованиям. Телецентрический объектив, выбранный при осмотре горлышка бутылки, может исправить параллакс традиционных промышленных объективов. Он может сделать так, чтобы увеличение полученного изображения не менялось в определенном диапазоне расстояния до объекта. является очень важным применением. Благодаря своей уникальной конструкции с параллельным световым лучом телецентрические объективы очень подходят для высокоточных применений машинного зрения.
Наши преимущества
Компания имеет полную команду технического обслуживания и механизм быстрого реагирования, а также выделенных специалистов по обслуживанию для каждого клиента, которые могут в любое время получать технические консультации и сообщения об ошибках от клиентов. И для обеспечения быстрого реагирования на чрезвычайные ситуации клиентов, чтобы гарантировать, что клиенты получают удовлетворительное обслуживание. Во время эпидемии или по особым причинам, когда инженеры послепродажного обслуживания не могут прибыть на место, сервисный центр может удаленно настроить оборудование клиента для устранения неполадок и технических консультаций.
После прибытия оборудования на площадку заказчика инженер послепродажного обслуживания прибывает вовремя для выполнения установки, ввода в эксплуатацию и обучения эксплуатации оборудования. Качество продукции всей машины отслеживается, а гарантийный срок качества составляет 1 год с даты приемки. В случае неисправностей, не связанных с человеком, в течение гарантийного периода инженеры послепродажного обслуживания быстро прибудут на место или предоставят удаленные инструкции по бесплатному обслуживанию.